055 547 449
[email protected]
,
[email protected]
facebook
Search
หน้าแรก
รู้จักเทศบาล
ข้อมูลพื้นฐาน
ตราสัญลักษณ์
ประกาศเปลี่ยนสถานะเทศบาล
โครงสร้างเทศบาล
โครงสร้างส่วนราชการ
ทำเนียบบุคลากร
คณะผู้บริหารเทศบาลนครแม่สอด
ปลัดเทศบาล
หัวหน้าส่วนราชการ
หัวหน้าฝ่าย
ผู้บริหารในอดีต
สภาเทศบาลนครแม่สอด
โครงสร้างสภาเทศบาลนครแม่สอด
ประกาศเรียกประชุมสภาเทศบาลนครแม่สอด
ประชาสัมพันธ์ การประชุมสภาเทศบาลนครแม่สอด
รายงานการประชุมสภาเทศบาลนครแม่สอด
ข่าวการประชุมสภาเทศบาลนครแม่สอด
กิจกรรมงานสภาเทศบาลนครแม่สอด
บทบาทหน้าที่
สถิติประชากรและครัวเรือน
วิสัยทัศน์และการพัฒนา
วิสัยทัศน์ พันธกิจ
แผนพัฒนาเทศบาล
แผนพัฒนาท้องถิ่น 5ปี
แผนพัฒนาท้องถิ่น 4 ปี
แผนพัฒนาท้องถิ่น 3 ปี
รายงานติดตามและประเมินผลแผนพัฒนา
แผนการดำเนินงาน ประจำปีงบประมาณ
เทศบัญญัติงบประมาณรายจ่าย
งบแสดงฐานะการเงิน
คู่มือการจัดทำแผนพัฒนาท้องถิ่น ของเทศบาลนครแม่สอด
คู่มือและแนวทางการขอรับการสนับสนุนงบประมาณจากเทศบาลนครแม่สอด
คู่มือการปฏิบัติงานการโอนเงินและเปลี่ยนแปลงคำชี้แจงงบประมาณประจำปี เทศบาลนครแม่สอด
แผนบริหารจัดการความเสี่ยง(RISK MANAGEMENT) เทศบาลนครแม่สอด
รายงานการปฏิบัติงานตามนโยบายนายกเทศมนตรีนครแม่สอด ประจำปีงบประมาณ พ.ศ.2566
โรงเรียนในสังกัด
ชุมชน 20 ชุมชน
ข่าวสาร
ข่าวจัดซื้อ-จัดจ้าง
ความก้าวหน้าการจัดซื้อจัดจ้างหรือการจัดหาพัสดุ ประจำปี
แผนการจัดซื้อจัดจ้างหรือแผนการจัดหาพัสดุ
รายงานผลการจัดซื้อจัดจ้างหรือการจัดหาพัสดุประจำปี
รายงานผลการจัดซื้อจัดจ้าง (แบบ สขร.1)
สรุปผลการดำเนินการจัดซื้อจัดจ้างและจัดซื้อพัสดุประจำปี
รายงานแสดงผลการดำเนินงานประจำปี
Highlight Maesot
ข่าวประชาสัมพันธ์
ข่าวรับสมัครงาน
ข่าว/ภาพกิจกรรม
E Book วารสารเทศบาลนครแม่สอด
DRIVE MAESOT
ข่าวน่าสนใจในจังหวัด
ข้อมูลวีดีโอ
รางวัลเกียรติคุณ
หน่วยงาน
สำนักปลัดเทศบาล
งานทะเบียนราษฎร
ฝ่ายป้องกันและบรรเทาสาธารณภัย
งานกิจการสภา
กองสาธารณสุขและสิ่งแวดล้อม
กองช่างสุขาภิบาล
กองคลัง
กองสวัสดิการสังคม
กองช่าง
กองยุทธศาสตร์และงบประมาณ
กองการศึกษา
หน่วยงานตรวจสอบภายใน
กองการเจ้าหน้าที่
ข้อมูลบริการ
การบริหารและพัฒนาทรัพยากรบุคคล
ศูนย์บริการจุดเดียวเบ็ดเสร็จ เทศบาลนครแม่สอด
การให้บริการ
รายงานข้อมูลสถิติการให้บริการประชาชน ประจำปี พ.ศ.2567
ข้อมูลสถิติการให้บริการ ประจำปี พ.ศ.2566
ข้อมูลสถิติการให้บริการ ประจำปี พ.ศ.2565
คู่มือหรือมาตราฐานการให้บริการ ประจำปี พ.ศ.2564
ข้อมูลสถิติการให้บริการ ประจำปี พ.ศ.2564
รายงานผลการสำรวจความพึงพอใจการให้บริการ ประจำปี พ.ศ.2564
ข้อมูลเชิงสถิติการให้บริการ ประจำปี พ.ศ.2563
รายงานผลการสำรวจความพึงพอใจการให้บริการ ประจำปี พ.ศ.2563
ข้อมูลเชิงสถิติการให้บริการ ประจำปี พ.ศ.2562
รายงานผลการสำรวจความพึงพอใจการให้บริการ ประจำปี พ.ศ.2562
กฎหมายที่เกี่ยวข้อง
คู่มือหรือแนวทางการให้บริการสำหรับผู้มารับบริการหรือผู้มาติดต่อ
คู่มือหรือแนวทางการปฏิบัติงานของเจ้าหน้าที่
การป้องกันการทุจริตในหน่วยงาน
แผนป้องกันการทุจริต
มาตรการป้องกันการทุจริต
การดำเนินการเพื่อจัดการความเสียงการทุจริต
เจตจำนงสุจริตของผู้บริหาร ประจำปี พ.ศ.2562
การมีส่วนร่วมของผู้บริหาร ประจำปี พ.ศ.2562
การประเมินความเสี่ยงเพื่อการป้องกันการทุจริต ประจำปี พ.ศ.2562
เจตจำนงสุจริตของผู้บริหาร ประจำปี พ.ศ.2563
การประเมินความเสี่ยงเพื่อการป้องกันการทุจริต ประจำปี พ.ศ.2563
เจตจำนงในการบริหารงานของเทศบาลนครแม่สอด ปี 2564
การประเมินความเสี่ยงเพื่อการป้องกันการทุจริต ประจำปี พ.ศ.2564
การประเมินความเสี่ยงการทุจริต ประจำปี 2565
การประเมินความเสี่ยงการทุจริตและประพฤติมิชอบ ประจำปี 2566
การประเมินความเสี่ยงการทุจริตและประพฤติมิชอบ ประจำปี 2567
การประเมินความเสี่ยงที่อาจเกิดการให้หรือรับสินบน ประจำปี 2568
สถิติเรื่องร้องเรียน
การส่งเสริมความโปร่งใส
การเปิดโอกาสให้เกิดการมีส่วนร่วม
ITA
ผลการประเมินประสิทธิภาพขององค์กรปกครองส่วนท้องถิ่น (Local Performance Assessment : LPA)
บริการนักท่องเที่ยว
แหล่งท่องเที่ยว
ชวนกินชวนเที่ยว
ที่พักน่าพัก
สินค้าเศรษฐกิจ
ข่าวประชาสัมพันธ์
ดาวน์โหลด
เอกสารสิ่งพิมพ์แนะนำ
รายงานการประชุมสภาเทศบาลนครแม่สอด
ติดต่อเรา
ติดต่อเรา
Site Map
ร้องเรียนทุจริต
แบบสำรวจการจัดการศึกษาระดับอุดมศึกษาในเมืองพิเศษ"นครแม่สอด"
กระดานกระทู้
หน้าแรก
รู้จักเทศบาล
ข้อมูลพื้นฐาน
ตราสัญลักษณ์
ประกาศเปลี่ยนสถานะเทศบาล
โครงสร้างเทศบาล
โครงสร้างส่วนราชการ
ทำเนียบบุคลากร
คณะผู้บริหารเทศบาลนครแม่สอด
ปลัดเทศบาล
หัวหน้าส่วนราชการ
หัวหน้าฝ่าย
ผู้บริหารในอดีต
สภาเทศบาลนครแม่สอด
โครงสร้างสภาเทศบาลนครแม่สอด
ประกาศเรียกประชุมสภาเทศบาลนครแม่สอด
ประชาสัมพันธ์ การประชุมสภาเทศบาลนครแม่สอด
รายงานการประชุมสภาเทศบาลนครแม่สอด
ข่าวการประชุมสภาเทศบาลนครแม่สอด
กิจกรรมงานสภาเทศบาลนครแม่สอด
บทบาทหน้าที่
สถิติประชากรและครัวเรือน
วิสัยทัศน์และการพัฒนา
วิสัยทัศน์ พันธกิจ
แผนพัฒนาเทศบาล
แผนพัฒนาท้องถิ่น 5ปี
แผนพัฒนาท้องถิ่น 4 ปี
แผนพัฒนาท้องถิ่น 3 ปี
รายงานติดตามและประเมินผลแผนพัฒนา
แผนการดำเนินงาน ประจำปีงบประมาณ
เทศบัญญัติงบประมาณรายจ่าย
งบแสดงฐานะการเงิน
คู่มือการจัดทำแผนพัฒนาท้องถิ่น ของเทศบาลนครแม่สอด
คู่มือและแนวทางการขอรับการสนับสนุนงบประมาณจากเทศบาลนครแม่สอด
คู่มือการปฏิบัติงานการโอนเงินและเปลี่ยนแปลงคำชี้แจงงบประมาณประจำปี เทศบาลนครแม่สอด
แผนบริหารจัดการความเสี่ยง(RISK MANAGEMENT) เทศบาลนครแม่สอด
รายงานการปฏิบัติงานตามนโยบายนายกเทศมนตรีนครแม่สอด ประจำปีงบประมาณ พ.ศ.2566
โรงเรียนในสังกัด
ชุมชน 20 ชุมชน
ข่าวสาร
ข่าวจัดซื้อ-จัดจ้าง
ความก้าวหน้าการจัดซื้อจัดจ้างหรือการจัดหาพัสดุ ประจำปี
แผนการจัดซื้อจัดจ้างหรือแผนการจัดหาพัสดุ
รายงานผลการจัดซื้อจัดจ้างหรือการจัดหาพัสดุประจำปี
รายงานผลการจัดซื้อจัดจ้าง (แบบ สขร.1)
สรุปผลการดำเนินการจัดซื้อจัดจ้างและจัดซื้อพัสดุประจำปี
รายงานแสดงผลการดำเนินงานประจำปี
Highlight Maesot
ข่าวประชาสัมพันธ์
ข่าวรับสมัครงาน
ข่าว/ภาพกิจกรรม
E Book วารสารเทศบาลนครแม่สอด
DRIVE MAESOT
ข่าวน่าสนใจในจังหวัด
ข้อมูลวีดีโอ
รางวัลเกียรติคุณ
หน่วยงาน
สำนักปลัดเทศบาล
งานทะเบียนราษฎร
ฝ่ายป้องกันและบรรเทาสาธารณภัย
งานกิจการสภา
กองสาธารณสุขและสิ่งแวดล้อม
กองช่างสุขาภิบาล
กองคลัง
กองสวัสดิการสังคม
กองช่าง
กองยุทธศาสตร์และงบประมาณ
กองการศึกษา
หน่วยงานตรวจสอบภายใน
กองการเจ้าหน้าที่
ข้อมูลบริการ
การบริหารและพัฒนาทรัพยากรบุคคล
ศูนย์บริการจุดเดียวเบ็ดเสร็จ เทศบาลนครแม่สอด
การให้บริการ
รายงานข้อมูลสถิติการให้บริการประชาชน ประจำปี พ.ศ.2567
ข้อมูลสถิติการให้บริการ ประจำปี พ.ศ.2566
ข้อมูลสถิติการให้บริการ ประจำปี พ.ศ.2565
คู่มือหรือมาตราฐานการให้บริการ ประจำปี พ.ศ.2564
ข้อมูลสถิติการให้บริการ ประจำปี พ.ศ.2564
รายงานผลการสำรวจความพึงพอใจการให้บริการ ประจำปี พ.ศ.2564
ข้อมูลเชิงสถิติการให้บริการ ประจำปี พ.ศ.2563
รายงานผลการสำรวจความพึงพอใจการให้บริการ ประจำปี พ.ศ.2563
ข้อมูลเชิงสถิติการให้บริการ ประจำปี พ.ศ.2562
รายงานผลการสำรวจความพึงพอใจการให้บริการ ประจำปี พ.ศ.2562
กฎหมายที่เกี่ยวข้อง
คู่มือหรือแนวทางการให้บริการสำหรับผู้มารับบริการหรือผู้มาติดต่อ
คู่มือหรือแนวทางการปฏิบัติงานของเจ้าหน้าที่
การป้องกันการทุจริตในหน่วยงาน
แผนป้องกันการทุจริต
มาตรการป้องกันการทุจริต
การดำเนินการเพื่อจัดการความเสียงการทุจริต
เจตจำนงสุจริตของผู้บริหาร ประจำปี พ.ศ.2562
การมีส่วนร่วมของผู้บริหาร ประจำปี พ.ศ.2562
การประเมินความเสี่ยงเพื่อการป้องกันการทุจริต ประจำปี พ.ศ.2562
เจตจำนงสุจริตของผู้บริหาร ประจำปี พ.ศ.2563
การประเมินความเสี่ยงเพื่อการป้องกันการทุจริต ประจำปี พ.ศ.2563
เจตจำนงในการบริหารงานของเทศบาลนครแม่สอด ปี 2564
การประเมินความเสี่ยงเพื่อการป้องกันการทุจริต ประจำปี พ.ศ.2564
การประเมินความเสี่ยงการทุจริต ประจำปี 2565
การประเมินความเสี่ยงการทุจริตและประพฤติมิชอบ ประจำปี 2566
การประเมินความเสี่ยงการทุจริตและประพฤติมิชอบ ประจำปี 2567
การประเมินความเสี่ยงที่อาจเกิดการให้หรือรับสินบน ประจำปี 2568
สถิติเรื่องร้องเรียน
การส่งเสริมความโปร่งใส
การเปิดโอกาสให้เกิดการมีส่วนร่วม
ITA
ผลการประเมินประสิทธิภาพขององค์กรปกครองส่วนท้องถิ่น (Local Performance Assessment : LPA)
บริการนักท่องเที่ยว
แหล่งท่องเที่ยว
ชวนกินชวนเที่ยว
ที่พักน่าพัก
สินค้าเศรษฐกิจ
ข่าวประชาสัมพันธ์
ดาวน์โหลด
เอกสารสิ่งพิมพ์แนะนำ
รายงานการประชุมสภาเทศบาลนครแม่สอด
ติดต่อเรา
ติดต่อเรา
Site Map
ร้องเรียนทุจริต
แบบสำรวจการจัดการศึกษาระดับอุดมศึกษาในเมืองพิเศษ"นครแม่สอด"
กระดานกระทู้
หมวดหมู่: ข่าวประชาสัมพันธ์
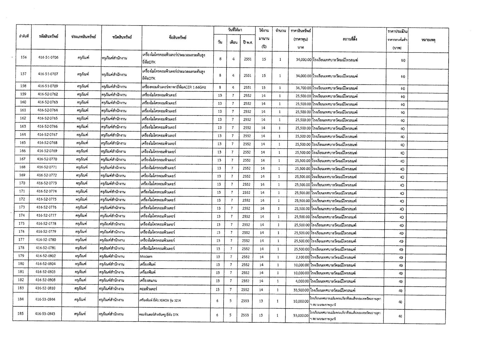
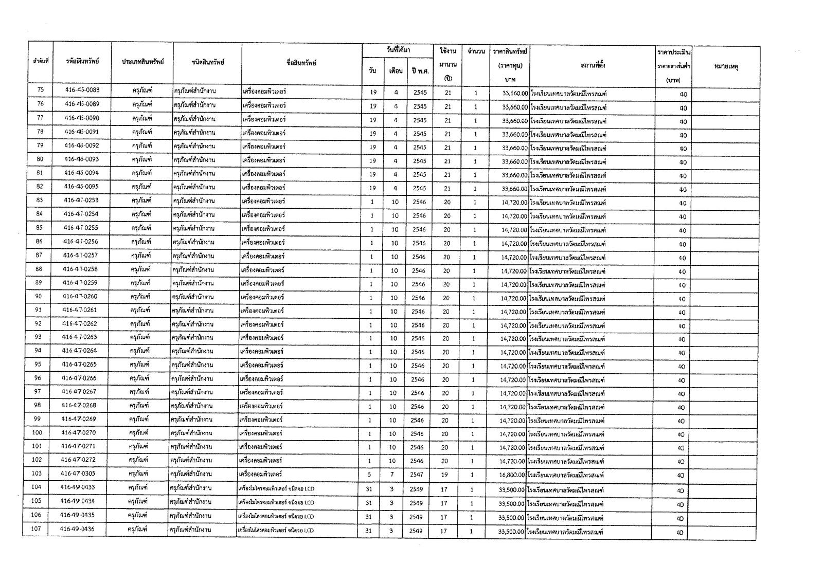
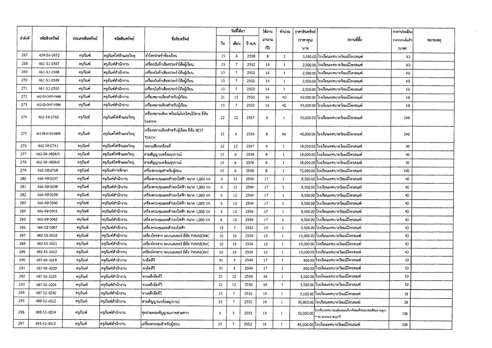
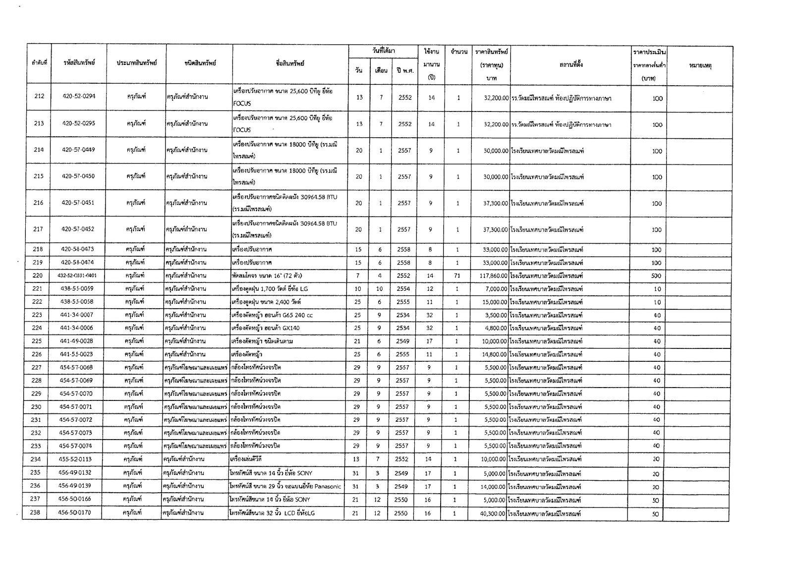
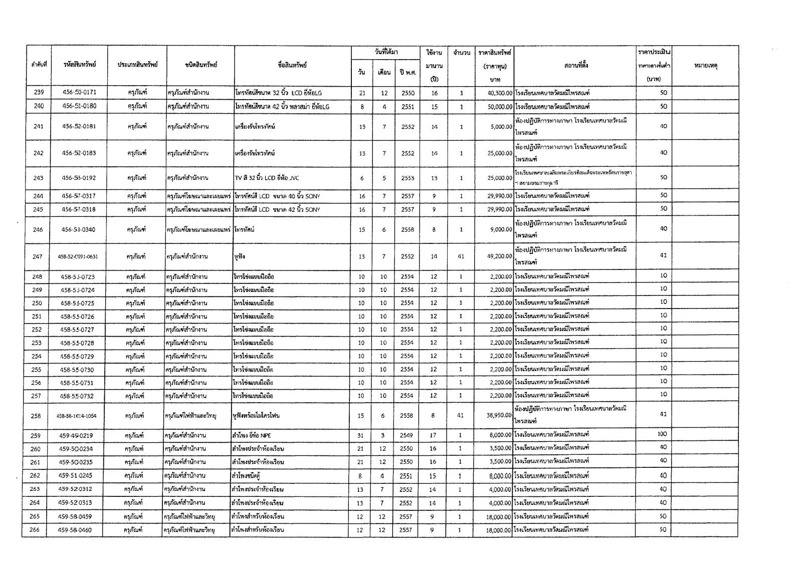
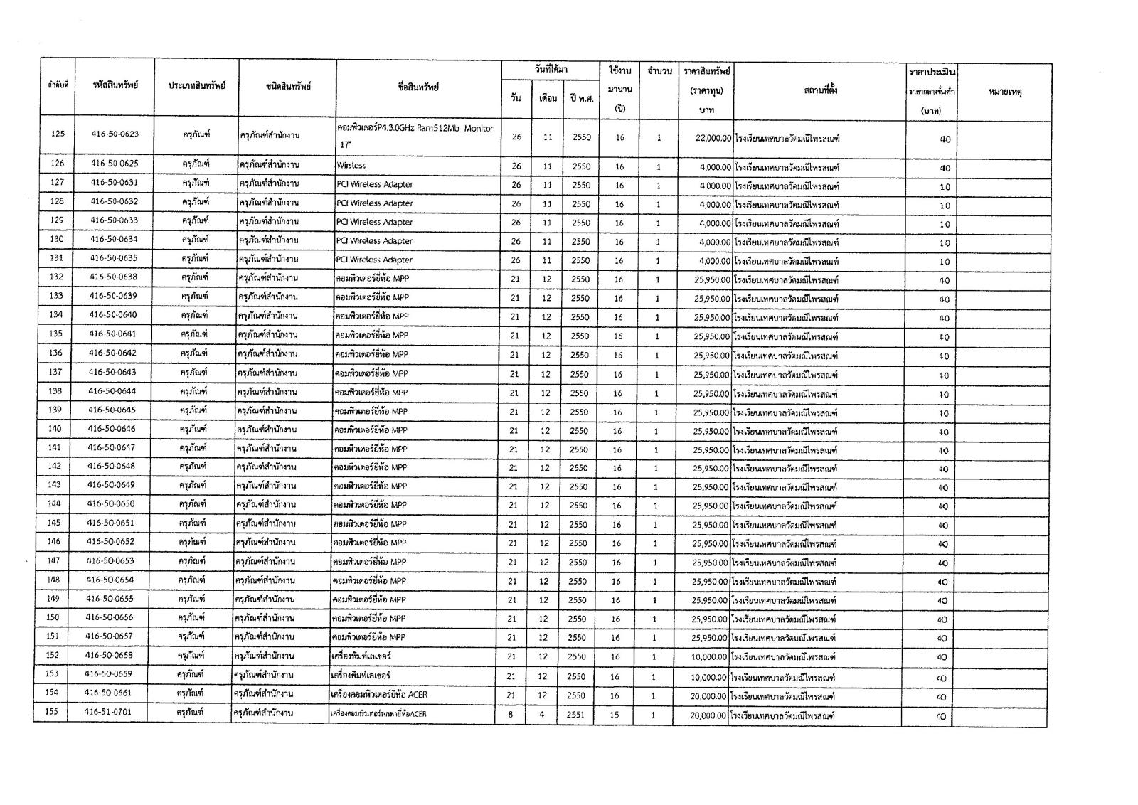
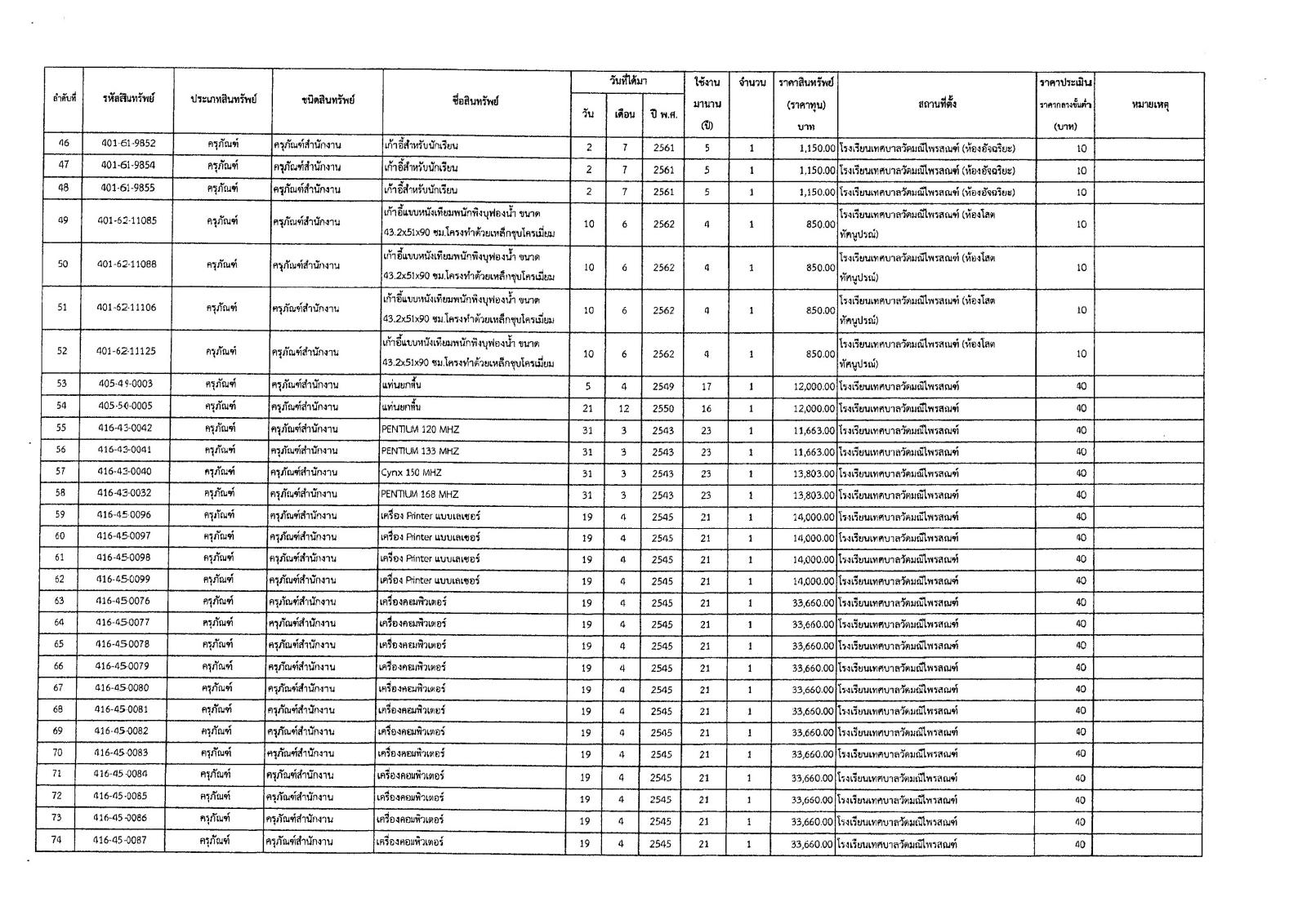
ประกาศเทศบาลนครแม่สอด เรื่อง การขายทอดตลาดพัสดุชำรุด เสื่อมสภาพ และพัสดุไม่จำเป็นต้องใช้ในราชการ ของโรงเรียนเทศบาลวัดมณีไพรสณฑ์ จำนวน 304 รายการ
โดย: ผู้พัฒนาระบบ เว็บไซต์
2 มิถุนายน 2566
41,499 ครั้ง
ประกาศเทศบาลนครแม่สอด เรื่อง การขายทอดตลาดพัสดุชำรุด เสื่อมสภาพ และพัสดุไม่จำเป็นต้องใช้ในราชการ ของโรงเรียนเทศบาลวัดมณีไพรสณฑ์ จำนวน 304 รายการ
Tags:
รูปภาพประกอบเนื้อหา
ข่าวประชาสัมพันธ์ อื่นๆ ที่เกี่ยวข้อง
ประกาศเทศบาลนครแม่สอด เรื่อง ให้ยื่นแบบพิมพ์ชำระภาษีป้าย ประจำปี พ.ศ. 2569
19 ธันวาคม 2568
อ่านบทความ
ประกาศเทศบาลนครแม่สอด เรื่อง การโอนเงินงบประมาณรายจ่าย ประจำปีงบประมาณ พ.ศ.2569 ครั้งที่ 4-8
18 ธันวาคม 2568
อ่านบทความ
ประกาศเทศบาลนครแม่สอด เรื่อง การแก้ไขเปลี่ยนแปลงคำชี้แจงงบประมาณรายจ่าย ประจำปีงบประมาณ พ.ศ.2569 ครั้งที่ 2
18 ธันวาคม 2568
อ่านบทความ
เทศบาลนครแม่สอด ขอประชาสัมพันธ์ เพื่อแสดงความคิดเห็นเกี่ยวกับผู้ที่ผ่านการตรวจสอบคุณสมบัติในการสอบคัดเลือกบุคคลเพื่อแต่งตั้งเป็นตุลาการประจำศาลปกครองชั้นต้น
16 ธันวาคม 2568
อ่านบทความ
เทศบาลนครแม่สอด ขอประชาสัมพันธ์ ศูนย์พัฒนาเด็กเล็กวัดอรัญญเขต พัสดุขายทอดตลาด ครุภัณฑ์ที่ชำรุด เสื่อมสภาพหรือไม่จำเป็นใช้ในราชการต่อไป จำนวน 5 รายการ
12 ธันวาคม 2568
อ่านบทความ
เทศบาลนครแม่สอด ขอประชาสัมพันธ์ ศูนย์พัฒนาเด็กเล็กโรงเรียนเทศบาลวัดมณีไพรสณฑ์ พัสดุขายทอดตลาด ครุภัณฑ์ที่ชำรุด เสื่อมสภาพหรือไม่จำเป็นใช้ในราชการต่อไป จำนวน 92 รายการ
12 ธันวาคม 2568
อ่านบทความ
เทศบาลนครแม่สอด ขอประชาสัมพันธ์ การขายทอดตลาดพัสดุที่มีสภาพชำรุด จำนวน 4 รายการ ในวันพฤหัสบดีที่ 18 ธันวาคม 2568 โดยเริ่มประมูลตั้งแต่เวลาตั้งแต่เวลา 09.00 - 10.00 น. ณ ที่ทำการด่านศุลกากรแม่สอด
9 ธันวาคม 2568
อ่านบทความ
เทศบาลนครแม่สอด ขอประชาสัมพันธ์แจ้งการแก้ไขปัญหาการกระทำผิดอาชญากรรมทางเทคโนโลยี มาตาการป้องกันการหลอกลวงจากการซื้อขายผ่านแพลตฟอร์มออนไลน์
9 ธันวาคม 2568
อ่านบทความ
เทศบาลนครแม่สอด ขอความร่วมมือประชาสัมพันธ์การใช้งานระบบดิจิทัลเพื่อบริการประชาชน สำหรับการบริหารจัดการทรัพยากรธรรมชาติและสิ่งแวดล้อม (Green Intelligence Digital Servicrs) หรือระบบ MNRE e-Services
9 ธันวาคม 2568
อ่านบทความ
เทศบาลนครแม่สอด ขอประชาสัมพันธ์การประกวดธิดาลูกหลานพระเจ้าตากในงานประเพณีงานตากสินมหาราชานุสรณ์ ประจำปี 2568 - 2569
9 ธันวาคม 2568
อ่านบทความ
เทศบาลนครแม่สอด ขอประชาสัมพันธ์ การจ่ายเงินเบี้ยยังชีพผู้สูงอายุฯ ประจำเดือน ธันวาคม 2568 ในวันที่ 9 ธันวาคม 2568 ณ ที่ทำการชุมชนแต่ละชุมชน ตั้งแต่เวลา 08.30 น. เป็นต้นไป
1 ธันวาคม 2568
อ่านบทความ
เทศบาลนครแม่สอด ขอประชาสัมพันธ์ เชิญชวนผู้ปกครองและประชาชนทั่วไปส่งแรงเชียร์และกำลังใจให้นักกีฬา ที่เข้าร่วมการแข่งขันกีฬานักเรียนกลุ่มโรงเรียนในสังกัดเทศบาลนครแม่สอด ประจำปีงบประมาณ 2569
28 พฤศจิกายน 2568
อ่านบทความ
ระบบช่วยเหลือแบบอัตโนมัติ
เทศบาลนครแม่สอด
สวัสดีจร้าาา...วันนี้มีอะไรให้น้องช่วยคะ ถามมาได้เลย จะรีบไปหาคำตอบให้ค่ะ
13:43
×
เลือกเดือน
มกราคม
กุมภาพันธ์
มีนาคม
เมษายน
พฤษภาคม
มิถุนายน
กรกฏาคม
สิงหาคม
กันยายน
ตุลาคม
พฤศจิกายน
ธันวาคม
เลือกปี
2558
2559
2560
2561
2562
2563
2564
2565
2566
2567
2568
สถิติผู้เข้าชมเว็บไซต์
เดือน :
วันที่
ทั้งหมด
×
ผลสำรวจ
ข่าวประชาสัมพันธ์ อื่นๆ ที่เกี่ยวข้อง