055 531 113
[email protected]
facebook
Search
Home
မြှို့နယ်သိရန်ရယူပါ
ယေဘုယျသတင်းအချက်အလက်
သင်္ကေတ
မြူနီစီပယ်အဆင့်အတန်းပြောင်းလဲမှုကြေညာချက်
အမှုဆောင်ကောင်စီ၊
โครงสร้างส่วนราชการ
ဝန်ထမ်းရေးရာလမ်းညွှန်
စီမံခန့်ခွဲမှုအဖွဲ့
Deputy Municipality
หัวหน้าส่วนราชการ
หัวหน้าฝ่าย
အုပ်ချုပ်မှုဟောင်း
สภาเทศบาลนครแม่สอด
โครงสร้างสภาเทศบาลนครแม่สอด
ประกาศเรียกประชุมสภาเทศบาลนครแม่สอด
ประชาสัมพันธ์ การประชุมสภาเทศบาลนครแม่สอด
รายงานการประชุมสภาเทศบาลนครแม่สอด
အစည်းအဝေးမှတ်တမ်း
กิจกรรมงานสภาเทศบาลนครแม่สอด
အခန်းကဏ္။
လူ ဦး ရေနှင့်အိမ်ထောင်စုစာရင်းဇယား
မျှော်မှန်းချက်နှင့်ဖွံ့ဖြိုးတိုးတက်မှု
မျှော်မှန်းချက်
แผนพัฒนาเทศบาล
၅ နှစ်ဖွံ့ဖြိုးတိုးတက်မှုအစီအစဉ်
แผนพัฒนาท้องถิ่น 4 ปี
แผนพัฒนาท้องถิ่น 3 ปี
รายงานติดตามและประเมินผลแผนพัฒนา
แผนการดำเนินงาน ประจำปีงบประมาณ
เทศบัญญัติงบประมาณรายจ่าย
งบแสดงฐานะการเงิน
คู่มือการจัดทำแผนพัฒนาท้องถิ่น ของเทศบาลนครแม่สอด
คู่มือและแนวทางการขอรับการสนับสนุนงบประมาณจากเทศบาลนครแม่สอด
คู่มือการปฏิบัติงานการโอนเงินและเปลี่ยนแปลงคำชี้แจงงบประมาณประจำปี เทศบาลนครแม่สอด
แผนบริหารจัดการความเสี่ยง(RISK MANAGEMENT) เทศบาลนครแม่สอด
รายงานการปฏิบัติงานตามนโยบายนายกเทศมนตรีนครแม่สอด ประจำปีงบประมาณ พ.ศ.2566
တွဲဖက်ကျောင်း
ရပ်ကွက် ၂၀
သတင်းစကား
Highlight Maesot
ဝယ်ယူရေး
แผนการจัดซื้อจัดจ้างหรือแผนการจัดหาพัสดุ
ความก้าวหน้าการจัดซื้อจัดจ้างหรือการจัดหาพัสดุ ประจำปี
รายงานผลการจัดซื้อจัดจ้างหรือการจัดหาพัสดุประจำปี
รายงานผลการจัดซื้อจัดจ้าง (แบบ สขร.1)
สรุปผลการดำเนินการจัดซื้อจัดจ้างและจัดซื้อพัสดุประจำปี
รายงานแสดงผลการดำเนินงานประจำปี
ပြည်သူ့ဆက်ဆံရေး
အလုပ်အကိုင်သတင်း
သတင်း / လှုပ်ရှားမှု
E Book วารสารเทศบาลนครแม่สอด
DRIVE MAESOT
ပြည်နယ်အတွင်းရှိစိတ်ဝင်စားဖွယ်သတင်း
ဗွီဒီယို
ဆုများ
အဖွဲ့အစည်း
กองการเจ้าหน้าที่
สำนักปลัดเทศบาล
Prevention and mitigation of disaster
งานกิจการสภา
งานทะเบียนราษฎร
กองสาธารณสุขและสิ่งแวดล้อม
กองช่างสุขาภิบาล
กองคลัง
กองสวัสดิการสังคม
กองช่าง
กองยุทธศาสตร์และงบประมาณ
กองการศึกษา
หน่วยงานตรวจสอบภายใน
ข้อมูลบริการ
လူ့စွမ်းအားအရင်းအမြစ်စီမံခန့်ခွဲမှုနှင့်ဖွံ့ဖြိုးတိုးတက်မှု
ศูนย์บริการจุดเดียวเบ็ดเสร็จ เทศบาลนครแม่สอด
ဝန်ဆောင်မှု
รายงานข้อมูลสถิติการให้บริการประชาชน ประจำปี พ.ศ.2567
ข้อมูลสถิติการให้บริการ ประจำปี พ.ศ.2566
ข้อมูลสถิติการให้บริการ ประจำปี พ.ศ.2565
คู่มือหรือมาตราฐานการให้บริการ ประจำปี พ.ศ.2564
ข้อมูลสถิติการให้บริการ ประจำปี พ.ศ.2564
รายงานผลการสำรวจความพึงพอใจการให้บริการ ประจำปี พ.ศ.2564
ข้อมูลเชิงสถิติการให้บริการ ประจำปี พ.ศ.2563
รายงานผลการสำรวจความพึงพอใจการให้บริการ ประจำปี พ.ศ.2563
ข้อมูลเชิงสถิติการให้บริการ ประจำปี พ.ศ.2562
รายงานผลการสำรวจความพึงพอใจการให้บริการ ประจำปี พ.ศ.2562
กฎหมายที่เกี่ยวข้อง
คู่มือหรือแนวทางการให้บริการสำหรับผู้มารับบริการหรือผู้มาติดต่อ
စစ်ဆင်ရေးလက်စွဲ
การป้องกันการทุจริตในหน่วยงาน
လိမ်လည်မှုကာကွယ်တားဆီးရေးအစီအစဉ်
လိမ်လည်မှုတားဆီးရေးအစီအမံ
လိမ်လည်မှုအန္တရာယ်စီမံခန့်ခွဲရန်လုပ်ဆောင်ချက်များ
เจตจำนงสุจริตของผู้บริหาร ประจำปี พ.ศ.2562
การมีส่วนร่วมของผู้บริหาร ประจำปี พ.ศ.2562
การประเมินความเสี่ยงเพื่อการป้องกันการทุจริต ประจำปี พ.ศ.2562
เจตจำนงสุจริตของผู้บริหาร ประจำปี พ.ศ.2563
การประเมินความเสี่ยงเพื่อการป้องกันการทุจริต ประจำปี พ.ศ.2563
เจตจำนงในการบริหารงานของเทศบาลนครแม่สอด ปี 2564
การประเมินความเสี่ยงเพื่อการป้องกันการทุจริต ประจำปี พ.ศ.2564
การประเมินความเสี่ยงการทุจริต ประจำปี 2565
การประเมินความเสี่ยงการทุจริตและประพฤติมิชอบ ประจำปี 2566
การประเมินความเสี่ยงการทุจริตและประพฤติมิชอบ ประจำปี 2567
การประเมินความเสี่ยงที่อาจเกิดการให้หรือรับสินบน ประจำปี 2568
တိုင်ကြားချက်စာရင်းဇယား
การส่งเสริมความโปร่งใส
การเปิดโอกาสให้เกิดการมีส่วนร่วม
ITA
ผลการประเมินประสิทธิภาพขององค์กรปกครองส่วนท้องถิ่น (Local Performance Assessment : LPA)
Tourist service
ဒေါင်းလုပ်
အကြံပြုစာပမြေား
รายงานการประชุมสภาเทศบาลนครแม่สอด
Contact US
Contact US
Site Map
ร้องเรียนทุจริต
แบบสำรวจการจัดการศึกษาระดับอุดมศึกษาในเมืองพิเศษ"นครแม่สอด"
Webboard
Home
မြှို့နယ်သိရန်ရယူပါ
ယေဘုယျသတင်းအချက်အလက်
သင်္ကေတ
မြူနီစီပယ်အဆင့်အတန်းပြောင်းလဲမှုကြေညာချက်
အမှုဆောင်ကောင်စီ၊
โครงสร้างส่วนราชการ
ဝန်ထမ်းရေးရာလမ်းညွှန်
စီမံခန့်ခွဲမှုအဖွဲ့
Deputy Municipality
หัวหน้าส่วนราชการ
หัวหน้าฝ่าย
အုပ်ချုပ်မှုဟောင်း
สภาเทศบาลนครแม่สอด
โครงสร้างสภาเทศบาลนครแม่สอด
ประกาศเรียกประชุมสภาเทศบาลนครแม่สอด
ประชาสัมพันธ์ การประชุมสภาเทศบาลนครแม่สอด
รายงานการประชุมสภาเทศบาลนครแม่สอด
အစည်းအဝေးမှတ်တမ်း
กิจกรรมงานสภาเทศบาลนครแม่สอด
အခန်းကဏ္။
လူ ဦး ရေနှင့်အိမ်ထောင်စုစာရင်းဇယား
မျှော်မှန်းချက်နှင့်ဖွံ့ဖြိုးတိုးတက်မှု
မျှော်မှန်းချက်
แผนพัฒนาเทศบาล
၅ နှစ်ဖွံ့ဖြိုးတိုးတက်မှုအစီအစဉ်
แผนพัฒนาท้องถิ่น 4 ปี
แผนพัฒนาท้องถิ่น 3 ปี
รายงานติดตามและประเมินผลแผนพัฒนา
แผนการดำเนินงาน ประจำปีงบประมาณ
เทศบัญญัติงบประมาณรายจ่าย
งบแสดงฐานะการเงิน
คู่มือการจัดทำแผนพัฒนาท้องถิ่น ของเทศบาลนครแม่สอด
คู่มือและแนวทางการขอรับการสนับสนุนงบประมาณจากเทศบาลนครแม่สอด
คู่มือการปฏิบัติงานการโอนเงินและเปลี่ยนแปลงคำชี้แจงงบประมาณประจำปี เทศบาลนครแม่สอด
แผนบริหารจัดการความเสี่ยง(RISK MANAGEMENT) เทศบาลนครแม่สอด
รายงานการปฏิบัติงานตามนโยบายนายกเทศมนตรีนครแม่สอด ประจำปีงบประมาณ พ.ศ.2566
တွဲဖက်ကျောင်း
ရပ်ကွက် ၂၀
သတင်းစကား
Highlight Maesot
ဝယ်ယူရေး
แผนการจัดซื้อจัดจ้างหรือแผนการจัดหาพัสดุ
ความก้าวหน้าการจัดซื้อจัดจ้างหรือการจัดหาพัสดุ ประจำปี
รายงานผลการจัดซื้อจัดจ้างหรือการจัดหาพัสดุประจำปี
รายงานผลการจัดซื้อจัดจ้าง (แบบ สขร.1)
สรุปผลการดำเนินการจัดซื้อจัดจ้างและจัดซื้อพัสดุประจำปี
รายงานแสดงผลการดำเนินงานประจำปี
ပြည်သူ့ဆက်ဆံရေး
အလုပ်အကိုင်သတင်း
သတင်း / လှုပ်ရှားမှု
E Book วารสารเทศบาลนครแม่สอด
DRIVE MAESOT
ပြည်နယ်အတွင်းရှိစိတ်ဝင်စားဖွယ်သတင်း
ဗွီဒီယို
ဆုများ
အဖွဲ့အစည်း
กองการเจ้าหน้าที่
สำนักปลัดเทศบาล
Prevention and mitigation of disaster
งานกิจการสภา
งานทะเบียนราษฎร
กองสาธารณสุขและสิ่งแวดล้อม
กองช่างสุขาภิบาล
กองคลัง
กองสวัสดิการสังคม
กองช่าง
กองยุทธศาสตร์และงบประมาณ
กองการศึกษา
หน่วยงานตรวจสอบภายใน
ข้อมูลบริการ
လူ့စွမ်းအားအရင်းအမြစ်စီမံခန့်ခွဲမှုနှင့်ဖွံ့ဖြိုးတိုးတက်မှု
ศูนย์บริการจุดเดียวเบ็ดเสร็จ เทศบาลนครแม่สอด
ဝန်ဆောင်မှု
รายงานข้อมูลสถิติการให้บริการประชาชน ประจำปี พ.ศ.2567
ข้อมูลสถิติการให้บริการ ประจำปี พ.ศ.2566
ข้อมูลสถิติการให้บริการ ประจำปี พ.ศ.2565
คู่มือหรือมาตราฐานการให้บริการ ประจำปี พ.ศ.2564
ข้อมูลสถิติการให้บริการ ประจำปี พ.ศ.2564
รายงานผลการสำรวจความพึงพอใจการให้บริการ ประจำปี พ.ศ.2564
ข้อมูลเชิงสถิติการให้บริการ ประจำปี พ.ศ.2563
รายงานผลการสำรวจความพึงพอใจการให้บริการ ประจำปี พ.ศ.2563
ข้อมูลเชิงสถิติการให้บริการ ประจำปี พ.ศ.2562
รายงานผลการสำรวจความพึงพอใจการให้บริการ ประจำปี พ.ศ.2562
กฎหมายที่เกี่ยวข้อง
คู่มือหรือแนวทางการให้บริการสำหรับผู้มารับบริการหรือผู้มาติดต่อ
စစ်ဆင်ရေးလက်စွဲ
การป้องกันการทุจริตในหน่วยงาน
လိမ်လည်မှုကာကွယ်တားဆီးရေးအစီအစဉ်
လိမ်လည်မှုတားဆီးရေးအစီအမံ
လိမ်လည်မှုအန္တရာယ်စီမံခန့်ခွဲရန်လုပ်ဆောင်ချက်များ
เจตจำนงสุจริตของผู้บริหาร ประจำปี พ.ศ.2562
การมีส่วนร่วมของผู้บริหาร ประจำปี พ.ศ.2562
การประเมินความเสี่ยงเพื่อการป้องกันการทุจริต ประจำปี พ.ศ.2562
เจตจำนงสุจริตของผู้บริหาร ประจำปี พ.ศ.2563
การประเมินความเสี่ยงเพื่อการป้องกันการทุจริต ประจำปี พ.ศ.2563
เจตจำนงในการบริหารงานของเทศบาลนครแม่สอด ปี 2564
การประเมินความเสี่ยงเพื่อการป้องกันการทุจริต ประจำปี พ.ศ.2564
การประเมินความเสี่ยงการทุจริต ประจำปี 2565
การประเมินความเสี่ยงการทุจริตและประพฤติมิชอบ ประจำปี 2566
การประเมินความเสี่ยงการทุจริตและประพฤติมิชอบ ประจำปี 2567
การประเมินความเสี่ยงที่อาจเกิดการให้หรือรับสินบน ประจำปี 2568
တိုင်ကြားချက်စာရင်းဇယား
การส่งเสริมความโปร่งใส
การเปิดโอกาสให้เกิดการมีส่วนร่วม
ITA
ผลการประเมินประสิทธิภาพขององค์กรปกครองส่วนท้องถิ่น (Local Performance Assessment : LPA)
Tourist service
ဒေါင်းလုပ်
အကြံပြုစာပမြေား
รายงานการประชุมสภาเทศบาลนครแม่สอด
Contact US
Contact US
Site Map
ร้องเรียนทุจริต
แบบสำรวจการจัดการศึกษาระดับอุดมศึกษาในเมืองพิเศษ"นครแม่สอด"
Webboard
အမျိုးအစားများ: ข่าวจัดซื้อ-จัดจ้าง
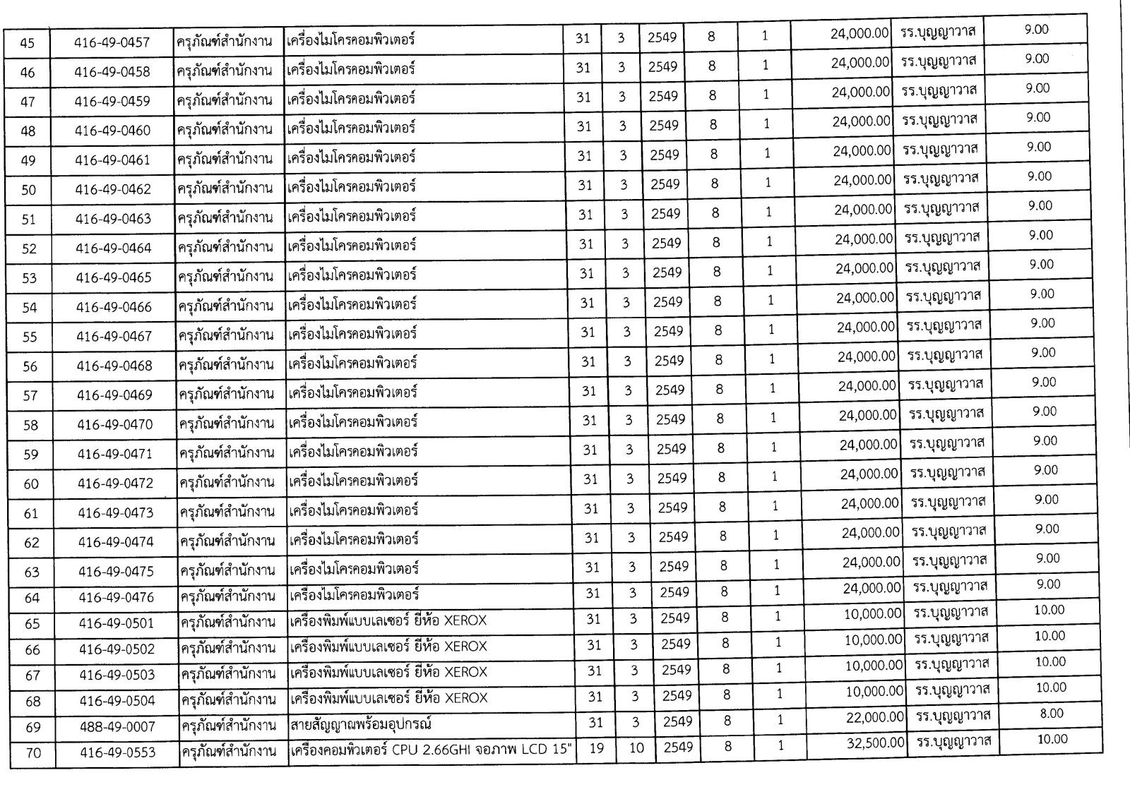
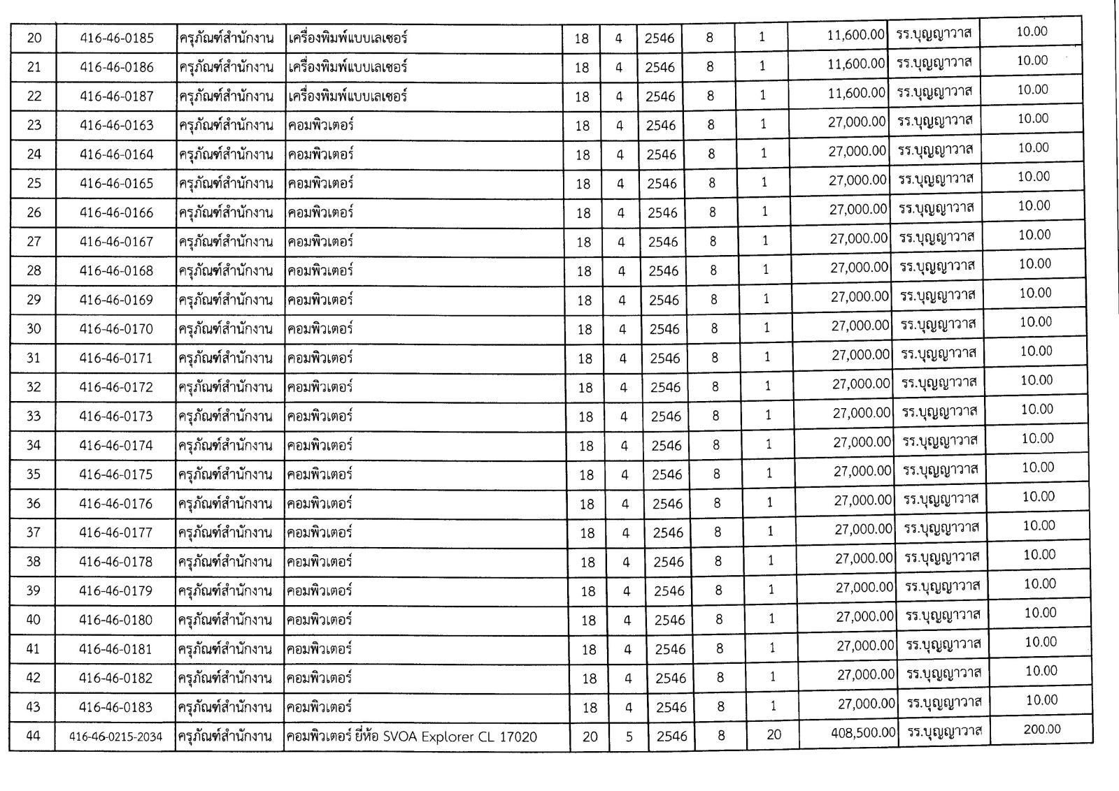
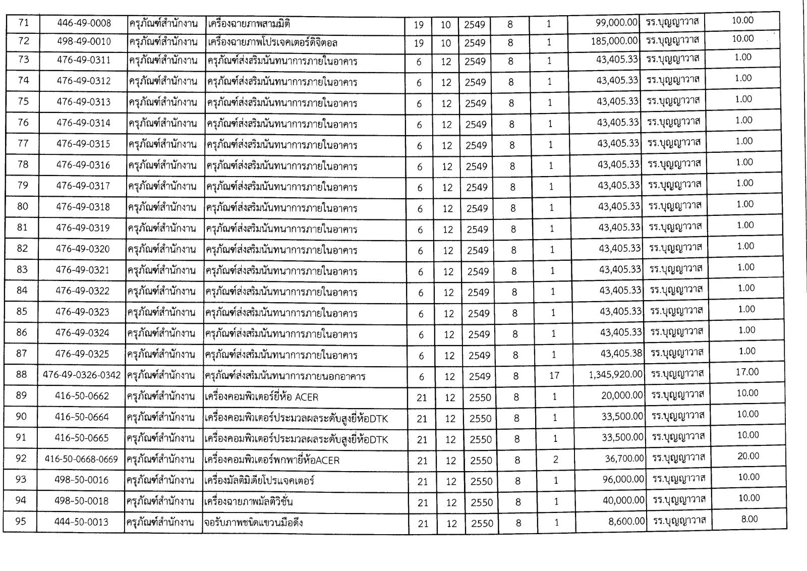
ประกาศเทศบาลนครแม่สอด เรื่อง การขายทอดตลาดพัสดุชำรุด เสื่อมสภาพ และพัสดุไม่จำเป็นต้องใช้ในราชการ (ของโรงเรียนเทศบาลวัดบุญญาวาส) จำนวน 125 รายการ
where: topcoms topcoms
20 Jun 2023
609 ကြိမ်
ประกาศเทศบาลนครแม่สอด เรื่อง การขายทอดตลาดพัสดุชำรุด เสื่อมสภาพ และพัสดุไม่จำเป็นต้องใช้ในราชการ (ของโรงเรียนเทศบาลวัดบุญญาวาส) จำนวน 125 รายการ
Tags:
ประกาศเทศบาลนครแม่สอด เรื่อง การขายทอดตลาดพัสดุชำรุด เสื่อมสภาพ และพัสดุไม่จำเป็นต้องใช้ในราชการ (ของโรงเรียนเทศบาลวัดบุญญาวาส) จำนวน 125 รายการ
ข่าวจัดซื้อ-จัดจ้าง အခြားသူများနဲ့ဆက်စပ်မှု
เปลี่ยนแปลงแผนการจัดซื้อจัดจ้าง ปีงบประมาณ 2568
7 Oct 2024
ဆောင်းပါးဖတ်ပါ
ข่าวจัดซื้อ-จัดจ้าง အခြားသူများနဲ့ဆက်စပ်မှု